概率论07——参数估计
人工智能
math
发布时间 :
2025-11-16 00:00
字数:9
阅读 :
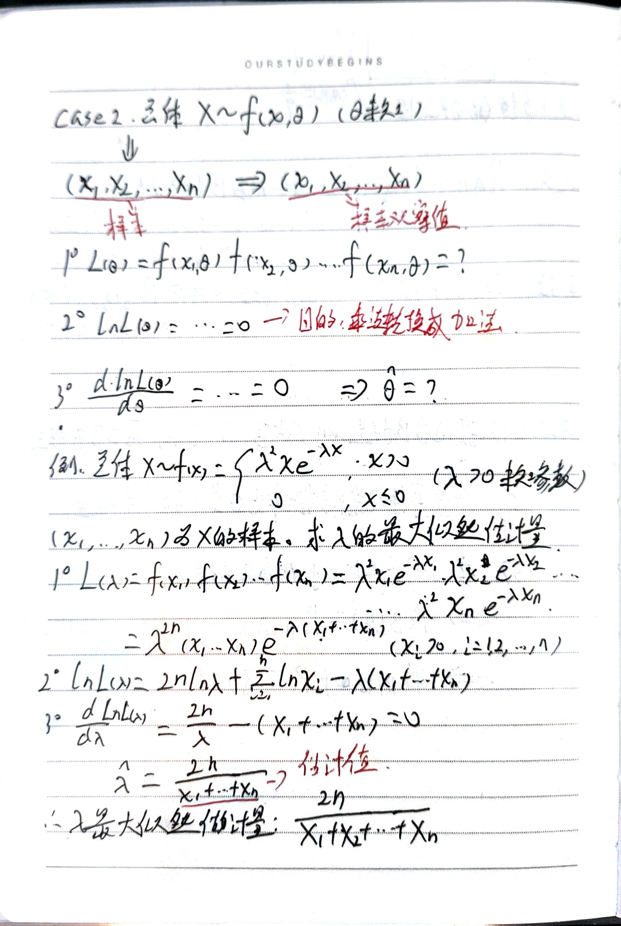
点估计
最大似然估计
点估计
最大似然估计
赏
©2017 XieShaoLin
Built with
Hexo
and
3-hexo
theme
×
喜欢就点赞,疼爱就打赏
支付宝
微信