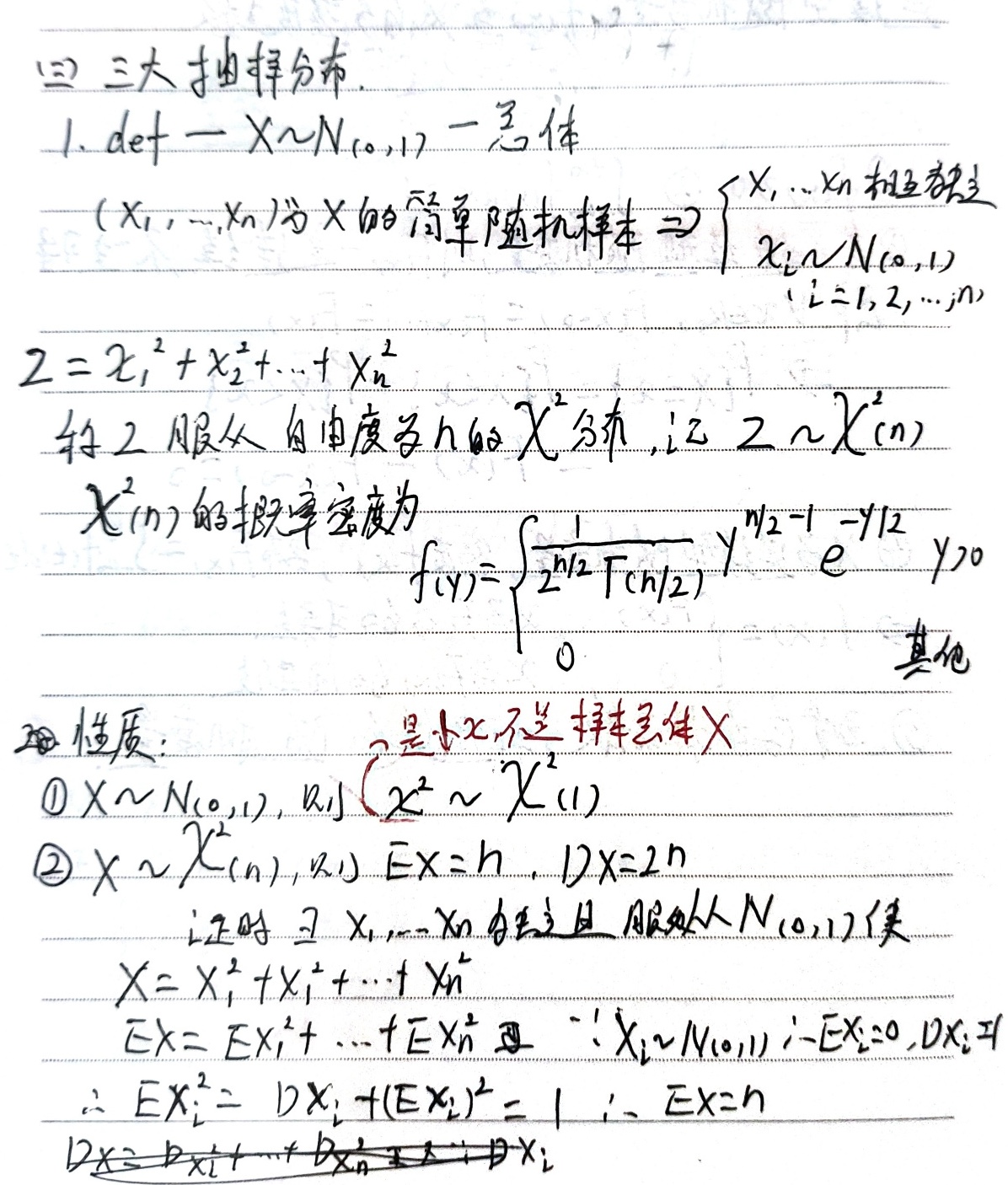
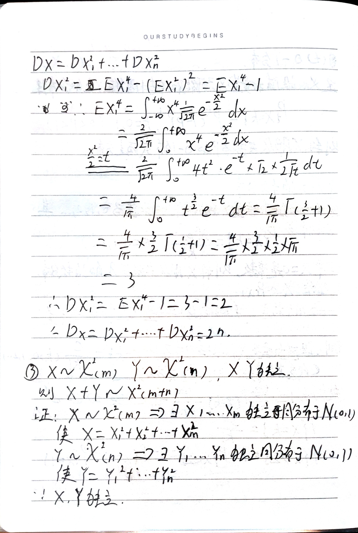
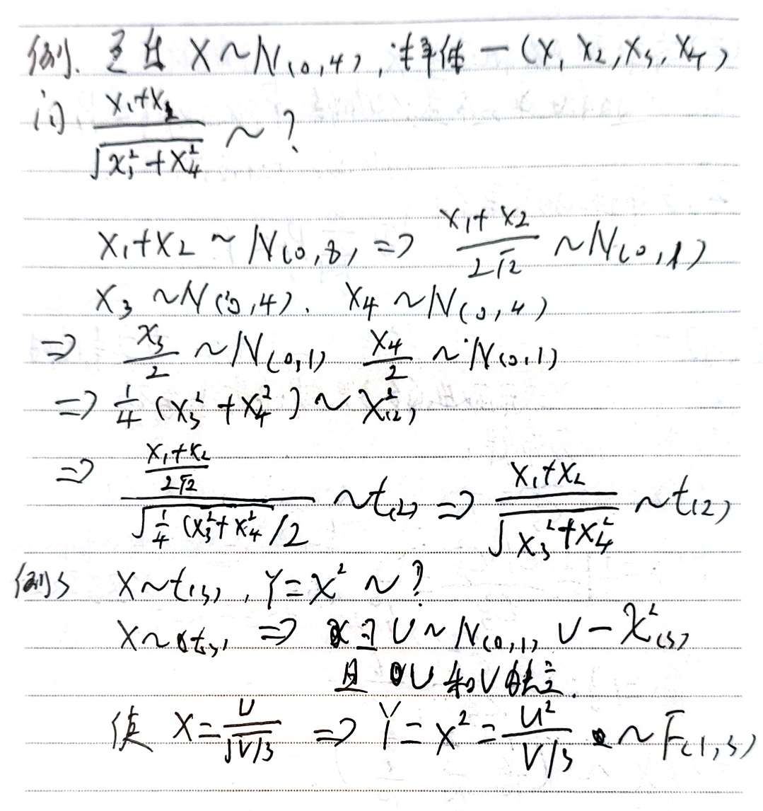
概率论06——数理统计基本概念 人工智能 math 发布时间 : 2025-11-16 00:00 字数:34 阅读 : 基本概念重要的统计量三大抽样分布伽马分布t分布F分布正态总体抽样分布 基本概念 重要的统计量 三大抽样分布伽马分布 t分布 F分布 正态总体抽样分布