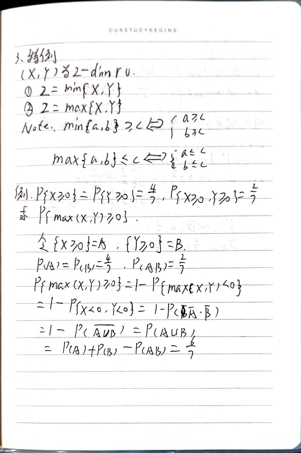
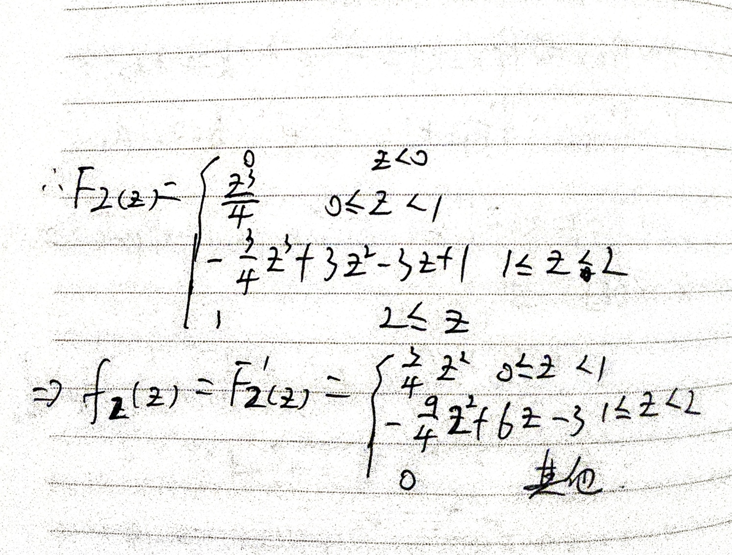
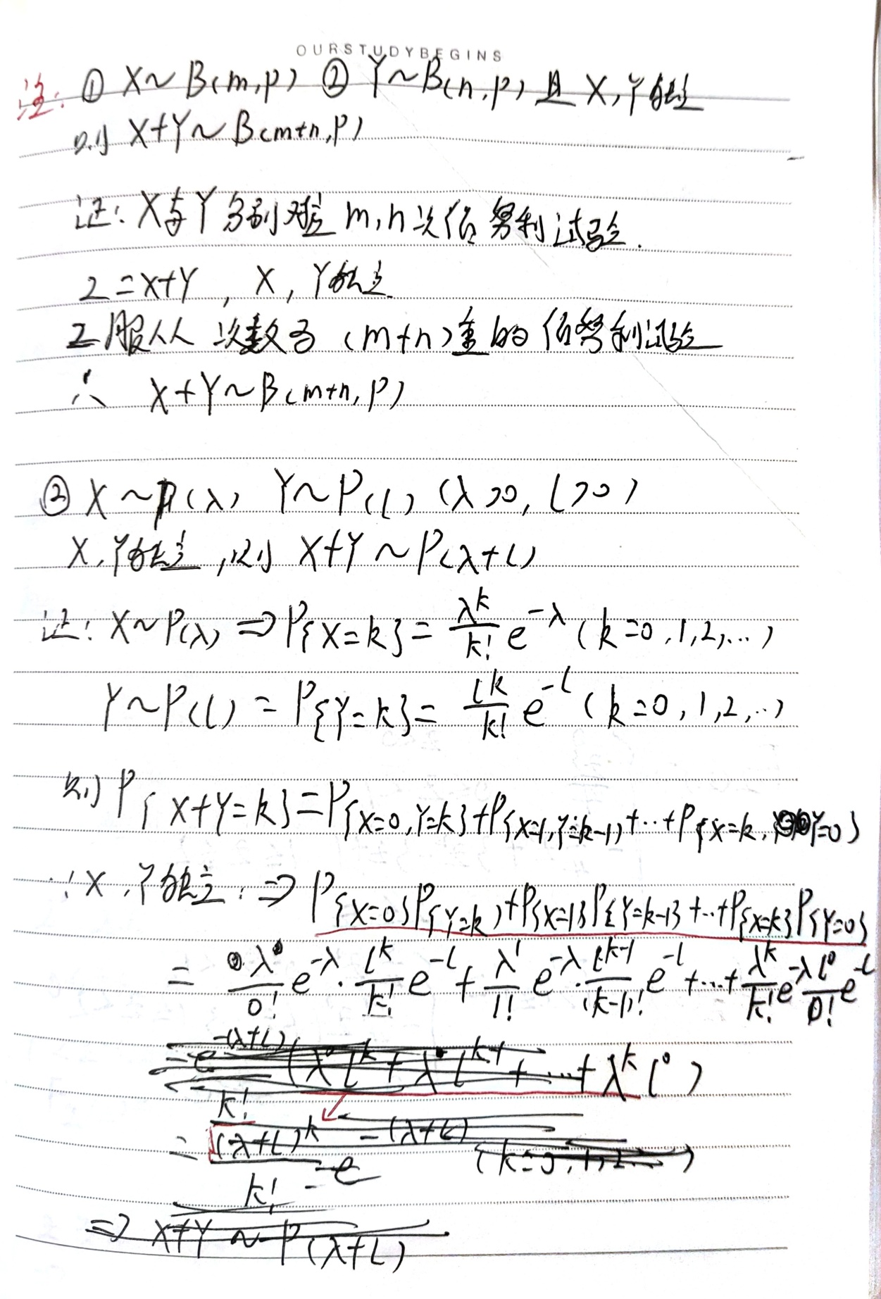
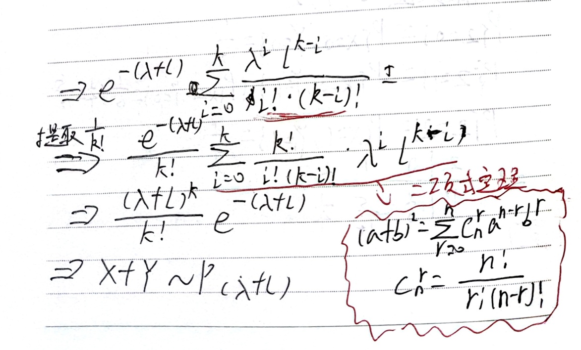
概率论03——多维随机变量 人工智能 math 发布时间 : 2025-11-16 00:00 字数:81 阅读 : 基本概念二维离散型随机变量二维连续型随机变量常见的二维随机变量的分布二维均匀分布二维正态分布随机变量的独立性条件分布离散型连续型二维随机变量的函数分布离散型连续型 基本概念 二维离散型随机变量 二维连续型随机变量 常见的二维随机变量的分布二维均匀分布 二维正态分布 随机变量的独立性 条件分布离散型 连续型 二维随机变量的函数分布离散型 连续型