高中数学01——基本初等函数的图形及其性质

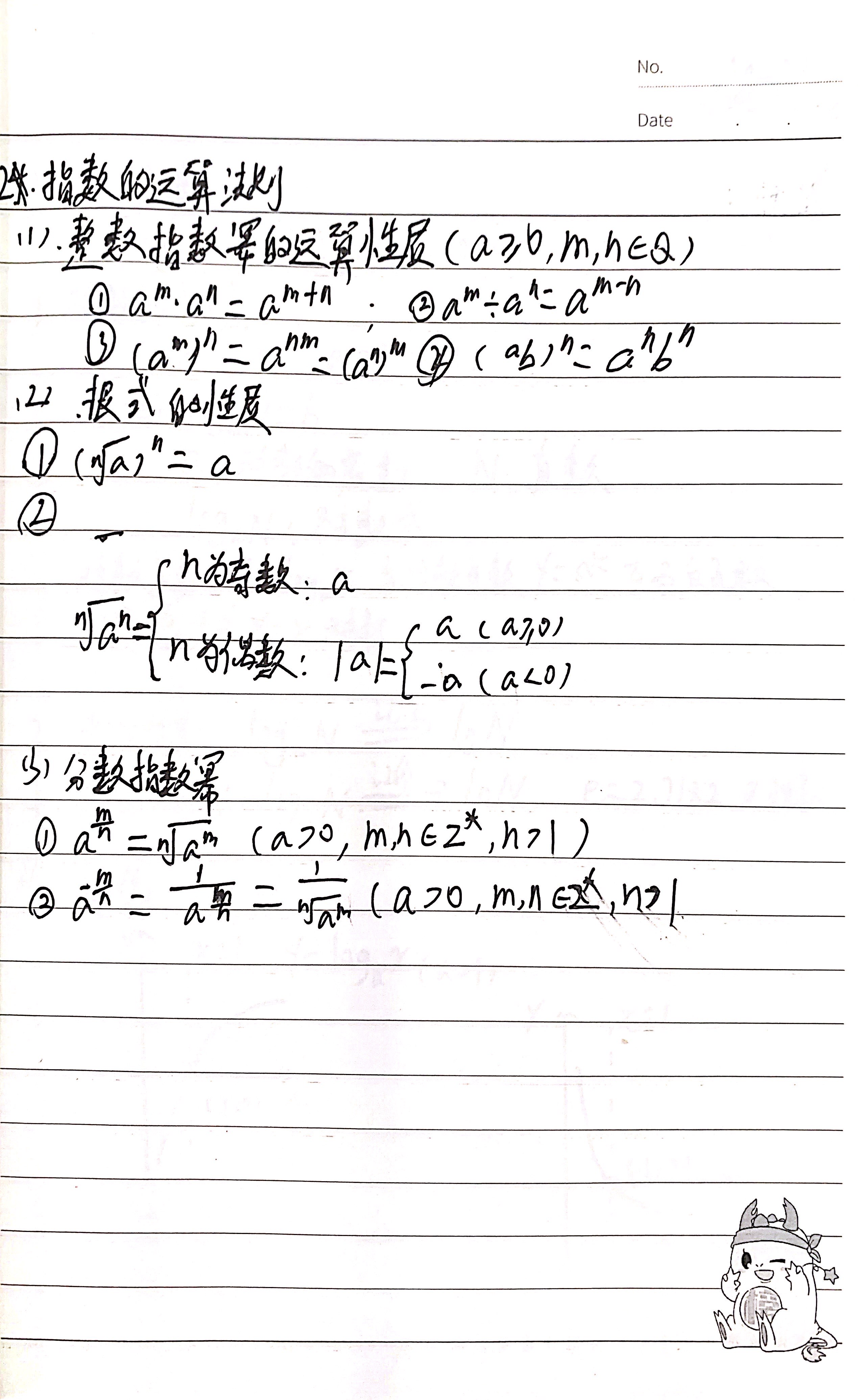
  1. 前置知识
  2. 常值函数、幂函数和指数函数
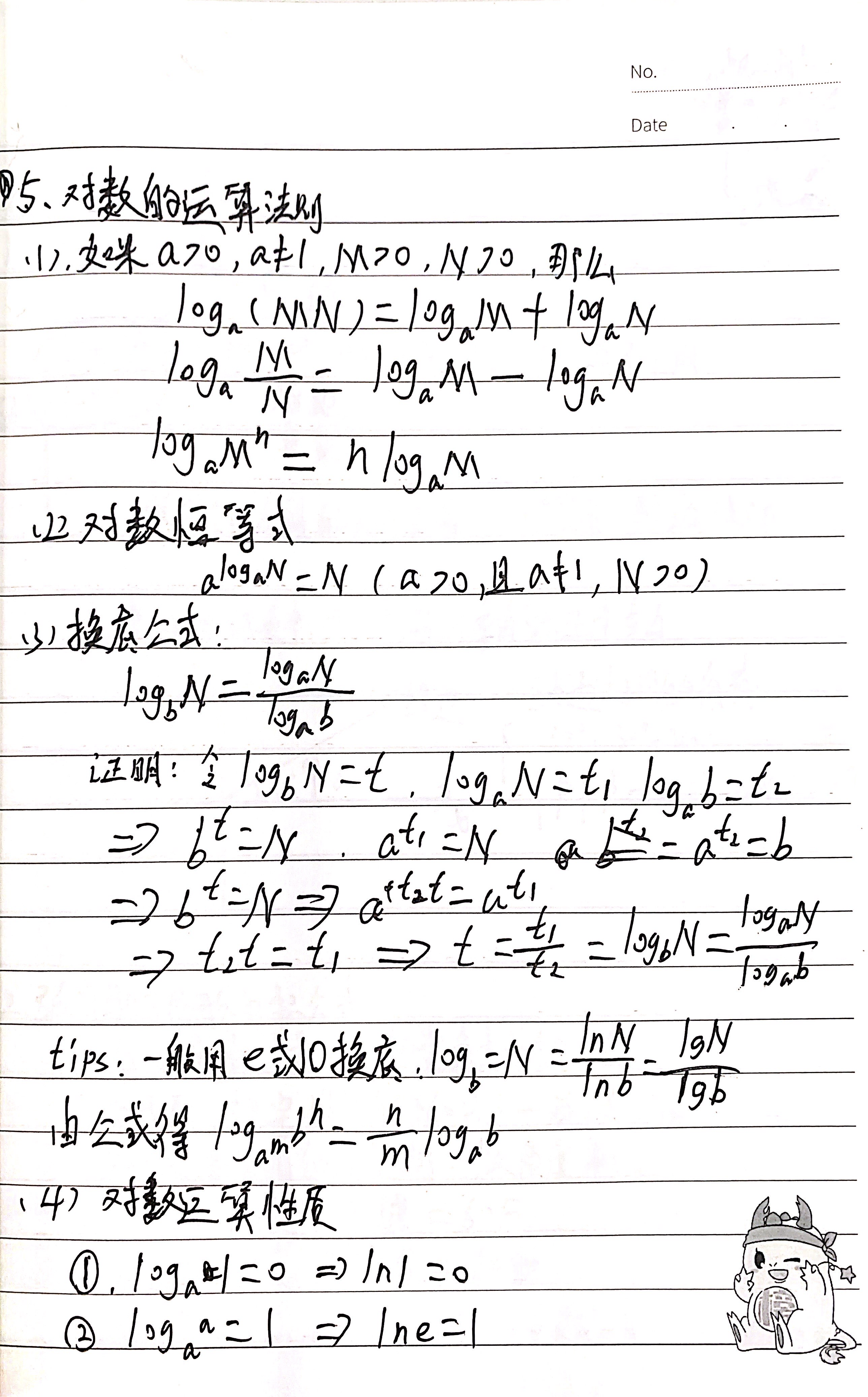
  3. 对数函数
  4. 三角函数
  5. 反三角函数
  6. 函数图形变化对应的操作

前置知识

常值函数、幂函数和指数函数

对数函数

三角函数

反三角函数

函数图形变化对应的操作

×

喜欢就点赞,疼爱就打赏