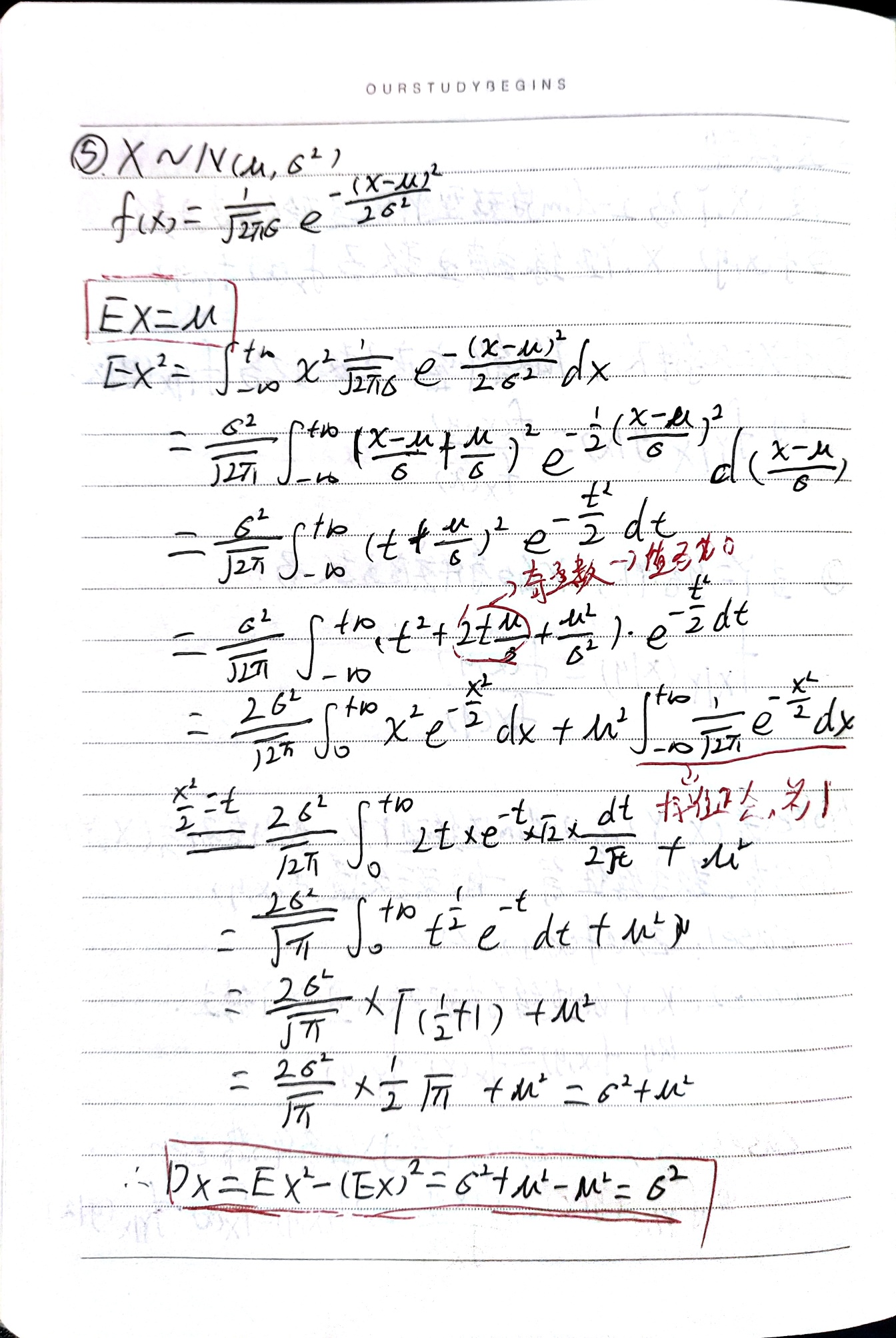
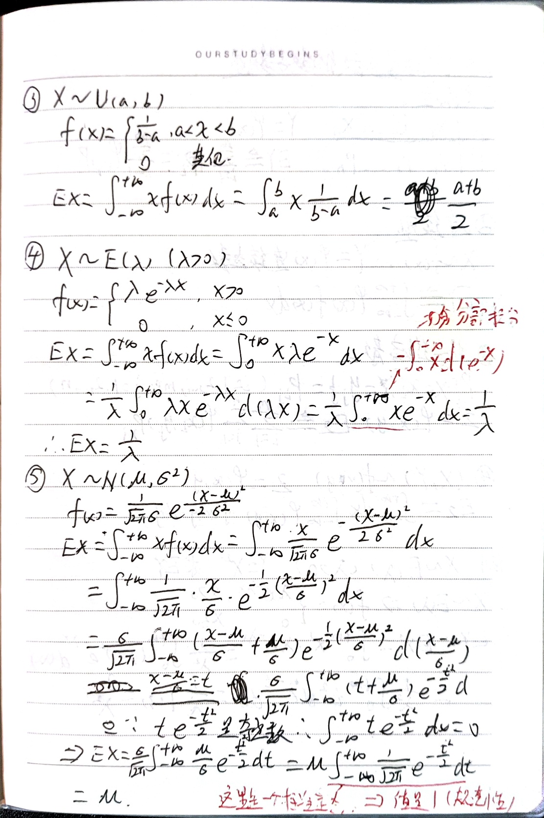
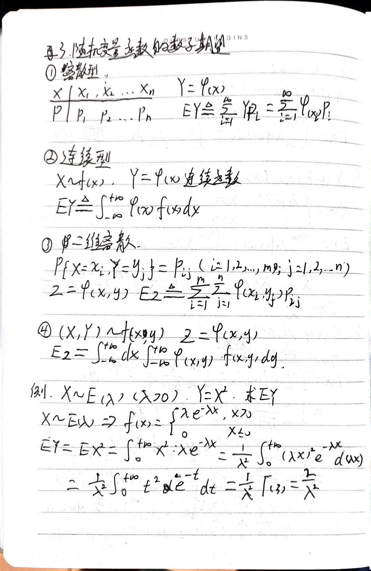
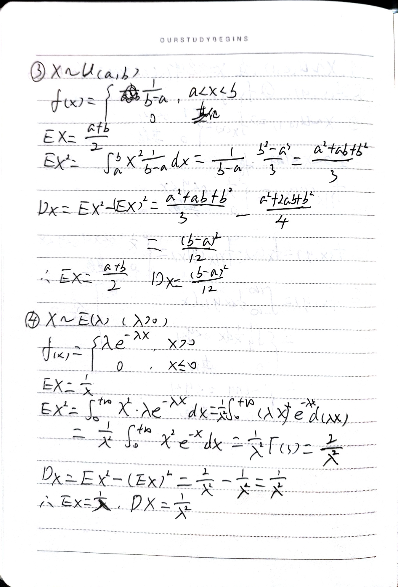
概率论04——随机变量的数字特征 人工智能 math 发布时间 : 2025-11-16 00:00 字数:86 阅读 : 数学期望定义常见随机变量的期望随机变量函数的期望数学期望的性质方差定义常见随机变量的方差方差的性质协方差与相关系数协方差定义和计算公式协方差的性质相关系数定义与计算公式性质 数学期望定义 常见随机变量的期望 随机变量函数的期望 数学期望的性质 方差定义 常见随机变量的方差 方差的性质 协方差与相关系数协方差定义和计算公式 协方差的性质 相关系数定义与计算公式 性质