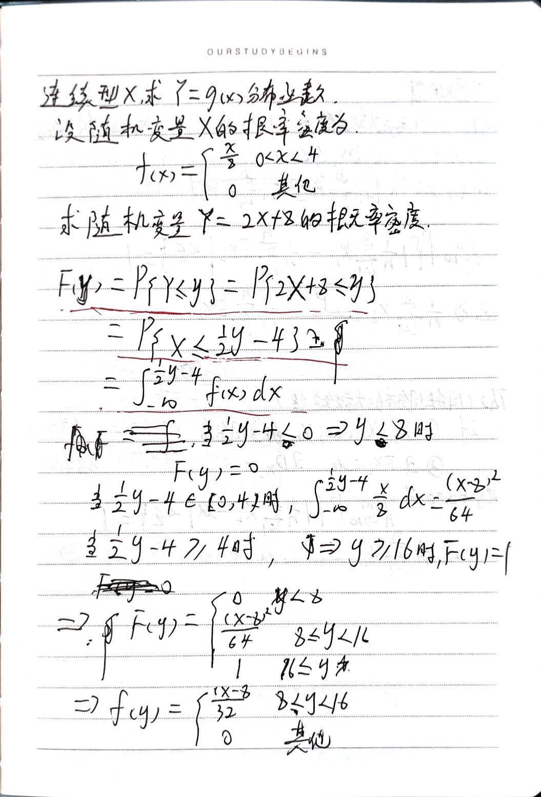
概率论02——随机变量及其分布 人工智能 math 发布时间 : 2025-11-16 00:00 字数:95 阅读 : 随机变量分布函数定义分布函数的性质离散型随机变量离散型:二项分布古典概型与几何概型离散型:几何分布0-1 分布连续性随机变量连续型:均匀分布连续型:指数分布连续型:正态分布连续型:标准正态分布连续型:Y=g(x) 随机变量 分布函数定义 分布函数的性质 离散型随机变量 离散型:二项分布 古典概型与几何概型 离散型:几何分布 0-1 分布 连续性随机变量 连续型:均匀分布 连续型:指数分布 连续型:正态分布 连续型:标准正态分布 连续型:Y=g(x)